香港中文大学与我站联合在多年冻土滑坡后植被恢复研究方面取得突出进展
北半球多年冻土区是全球气候系统和陆地碳循环的重要组成部分,但在持续气候变暖背景下,富冰多年冻土广泛退化并诱发“溯源型热融滑塌”(RTS),导致地表失稳、植被剥离及大量土壤碳释放,对生态系统稳定性和碳收支产生深远影响。尽管该类扰动近年来在北极及青藏高原等区域显著增加,但植被恢复的时间尺度及其空间差异仍不明确。针对这一关键科学问题,我站客座研究人员香港中文大学刘琳教授团队联合我站科研人员基于多源遥感影像和时间序列分析方法,对北半球多个典型多年冻土区的植被恢复过程进行了系统评估。
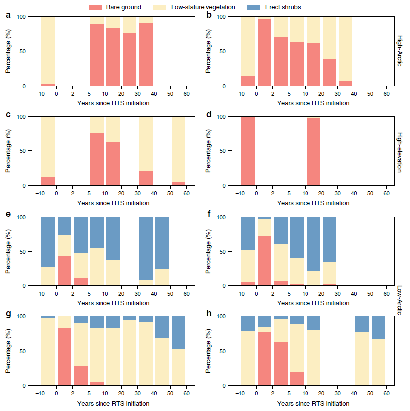
结果表明,植被恢复在空间上呈现显著异质性:在低北极地区,扰动后植被可在5至10年内恢复至接近原始水平,而在高北极及高海拔地区,恢复过程通常需要30年以上甚至超过百年;同时,NDVI时间序列显示植被恢复经历“扰动-快速恢复-稳定”三个阶段,不同区域恢复速率差异明显(图1)。进一步分析表明,植被恢复伴随明显的演替过程:初期由低矮植被(如苔藓和草本)快速占据裸地,随后逐渐被灌木替代,形成新的植被结构格局,这种结构变化在不同纬度和海拔区域表现出显著差异(图2)。
研究进一步揭示了多年冻土扰动后植被恢复的关键驱动机制,发现绿度恢复时间与生态系统总初级生产力(GPP)之间存在显著的幂函数关系,即生产力越高,恢复速度越快,该关系在多个独立区域得到验证(图3)。相比之下,温度和降水等单一气候因子对恢复时间的解释能力较弱,表明GPP能够综合反映水分、养分及生态条件,是预测植被恢复的重要指标。同时,研究提出了多年冻土扰动后植被恢复的概念模型:扰动后裸地形成,先锋植物迅速定殖,随后灌木逐步扩张并促进碳吸收能力恢复,在高生产力区域形成有利于碳汇增强的负反馈机制,而在高寒干旱地区,由于植被恢复缓慢,地表长期裸露可能加剧碳释放(图4)。该研究首次在北半球尺度系统揭示了多年冻土扰动后植被恢复的时空规律及其驱动机制,为全球碳循环评估、气候变化预测及多年冻土区生态管理提供了重要科学依据。
该研究成果3月31日在Nature Climate Change期刊出版,得到了国家重点研发计划项目(2020YFA0608501),美国国家科学基金会环境工程项目(EnvE-1928048),NASA ABoVE项目(80NSSC22K1254),香港研究资助局(N_CUHK434/21, CUHK14303119),香港中文大学直接科研基金(4053644),香港中文大学资源分配委员会(4720306)以及广东省科技厅(2025A0505000062)等项目的资助,我站吴通华研究员作为论文合作作者参与了此项研究。
文章链接:https://article doi.org/10.1038/s41558-026-02603-2

图1 各生态系统NDVI时间序列及其对应的植被功能类型(PFT)覆盖变化。彩色圆点和灰色加号表示每个热融滑坡子部分的平均NDVI值,按识别的断点(以垂直线表示)进行分段。植物功能型覆盖通过三元相图可视化,展示了低矮植被、直立灌木和裸地的比例。每个点(热融滑坡子部分)根据其植物功能型分类进行颜色编码。缺乏植被调查的热融滑坡子部分用加号表示。黑色线条表示最佳拟合的NDVI分段趋势,灰色带表示95%置信区间。地图上的红色三角形标示了四个验证点的位置,包括CR、PP、HI和TP。底图展示了环极地多年冻土范围图

图2 低北极、高北极及高海拔区域植被覆盖变化的时间演变特征。a–h,所示研究区域分别为班克斯岛东部(a)、班克斯岛西部(b)、青藏高原中部(c)、青藏高原西部(d)、诺阿塔克(e)、麦肯齐三角洲(f)、图利克湖(g)和亚马尔半岛(h)。红色、黄色和蓝色分别代表裸地、低矮植被和直立灌木。x轴采用非线性刻度,以突显低北极地区在扰动后第一个十年内的植被快速恢复。

图3 基于GOSIF(2001–2024年)的年均总初级生产力(GPP)与植被绿度恢复时间之间的关系。每个点代表一个区域热融滑坡站点的均值及标准误。黑色空心圆表示根据极高分辨率光学影像估算的四个热融滑坡验证站点的恢复时间。阴影区域表示幂律函数的95%置信区间。统计检验为双侧检验。缩放因子1.35和指数-1.68的P值分别为0.0169和0.0005。未进行多重比较校正。

图4 植被演替的概念模型及其在TL、NT、YP、CQ和PP等典型区域的示例。a,描述热融滑坡扰动后植被演替的概念模型。b、c、e,TL(b)、NT(c)和CQ(e)站点的地面照片(采用50×50 cm²样方采集)及无人机影像。d、f,YP(d)及一个验证站点PP(f)的无人机影像。比例尺(d、f):50 cm。第一列描绘未受扰动的植被组成。第二列展示热融滑坡扰动后立即形成的土地覆盖。第三列和第四列记录植被演替过程,显示从禾草/杂类草主导的景观向灌丛苔原群落的转变。值得注意的是,在CQ未观察到灌木。
图文:林星辰 审核:吴通华
附件下载: