- 我站吴通华研究员参加俄罗斯北方论坛并访问俄罗斯科学院西伯利亚分院梅尼科夫多年冻土研究所 2025-12-02
- 我站在边缘多年冻土区植被–冻土–水分耦合研究取得新进展 2025-11-19
- 青藏高原多年冻土区土壤蒸发、热融湖塘水面蒸发和植被蒸腾对当地降水的贡献研究获新进展 2025-11-04
- 我站与俄罗斯圣彼得堡大学在北极亚马尔地区联合开展多年冻土野外科学考察工作 2025-10-13
- 青藏高原积雪–多年冻土相互作用研究取得新进展 2025-08-31
- 我站一位博士研究生顺利完成学位论文答辩 2025-08-30
-
兰州大学地学行知会社团到我站开展暑期实践交流学习
7月21日至24日,兰州大学地学行知会社团一行12名本科生赴我站开展为期4天的暑期实践交流学习活动。我站科研人员全程接待并精心组织安排了此次交流,通过系列讲座、实地参观和座谈讨论等形式,增进了同学们对多年冻土及高... 7月21日至24日,兰州大学地学行知会社团一行12名本科生赴我站开展为期4天的暑期实践交流学习活动。我站科研人员全程接待并精心组织安排了此次交流,通过系列讲座、实地参观和座谈讨论等形式,增进了同学们对多年冻土及高...
2025-08-01
- 兰州大学地学行知会社团到我站开展暑期实践交流学习2025-08-01
- 西北研究院李宗省副院长一行赴我站调研2025-04-27
- 青海省青藏科学考察服务中心和格尔木市相关领导莅临我站考察调研2025-03-26
- 中国科学院空天信息创新研究院张兵副院长莅临我站考察指导2024-08-12
- 中国科学院空天信息创新研究院肖青研究员应邀来我站作学术报告2024-08-12
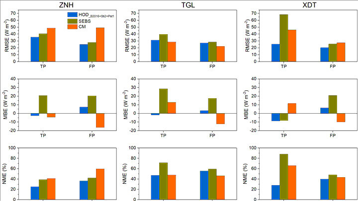
- 青藏高原多年冻土区地表土壤热通量估算研究取得新进展 [2025-12-03]
- 我站在边缘多年冻土区植被–冻土–水分耦合研究取得新进展 [2025-11-19]
- 青藏高原多年冻土区土壤蒸发、热融湖塘水面蒸发和植被蒸腾对当地降水的贡献研究获新进展 [2025-11-04]
- 青藏高原积雪–多年冻土相互作用研究取得新进展 [2025-08-31]
- 我站联合南京信息工程大学利用遥感形变和地球物理勘探技术反演多年冻土区活动层土壤含水量研究取得进展 [2025-08-19]
- 青藏高原五道梁多年冻土区地面形变机制研究取得进展 [2025-08-18]
- 青藏高原多年冻土与陆气相互作用研究取得重要进展 [2025-08-10]
- 我站在北极和青藏高原土壤导热率对比方面研究取得进展 [2025-06-28]
- 我站青藏高原多年冻土15m深度地温基准数据集(2010–2019)公开发布 [2025-05-08]
- 我站在青藏高原多年冻土活动层厚度研究取得重要进展 [2025-04-21]
-
我站召开2025年度重要工作部署会议
2025年3月10日,我站召开2025年度重要工作部署会议,会议由站长吴通华研究员主持,在兰科研技术人员近20人参加会议。此次会议围绕我站的主攻研究方向、重大在研项目情况、2025年重要工作安排及长期发展规划展开了深入讨论... 2025年3月10日,我站召开2025年度重要工作部署会议,会议由站长吴通华研究员主持,在兰科研技术人员近20人参加会议。此次会议围绕我站的主攻研究方向、重大在研项目情况、2025年重要工作安排及长期发展规划展开了深入讨论...
2025-03-12
- 我站召开2025年度重要工作部署会议2025-03-12
- 我站召开基地工作管理和整改座谈会2024-08-13
- 科技部国家重点研发计划“北极陆地环境变化及其效应研究”和“数字化北极航运:遥感信息快速监测及短期预报研究”项目间交流研讨会召开2023-05-13
- 冰冻圈科学国家重点实验室2022年学术年会召开2023-02-27
- 我站承担的国家重点研发项目完成中期检查2022-09-29
- 我站与俄罗斯圣彼得堡大学在北极亚马尔地区联合开展多年冻土野外科学考察工作 [2025-10-13]
- 我站新疆阿尔泰山-天山多年冻土野外考察圆满完成 [2025-07-31]
- 我站顺利完成2025年度蒙古国多年冻土与气候综合监测网络长期定位观测数据收集和仪器维护工作 [2025-07-02]
- 我站完成阿尔金地区2025年度多年冻土野外调查和仪器维护工作 [2025-05-16]
- 我站完成可可西里-卓乃湖地区2025年度多年冻土野外调查和仪器维护工作 [2025-04-09]
- 我站第二次青藏高原综合科学考察西藏羌塘无人区多年冻土考察任务顺利完成 [2024-10-23]
- 东北高纬度多年冻土本底及冻融灾害调查项目第二课题顺利完成2024年度野外调查工作 [2024-09-14]
- 我站完成马衔山多年冻土观测设备维护和布设工作 [2024-07-04]
- 我站完成可可西里-卓乃湖地区多年冻土野外调查和仪器维护工作 [2024-04-22]
- 我站第二次青藏高原综合科学考察西藏羌塘无人区多年冻土考察任务圆满完成 [2023-12-26]
- 我站联合香港中文大学和中国地质大学完成了青藏公路沿线典型区域石冰川调查、地温和形变数据采集及仪器维护工作 [2023-09-26]
- 我站开展青藏高原多年冻土分布北界西大滩地区活动层水热特征参数调查 [2023-09-25]
- 我站主持的科技基础资源调查专项课题野外调查任务圆满完成 [2023-08-24]
- 我站开展青藏高原典型多年冻土区多边形土地貌调查 [2023-08-04]
- 我站圆满完成青藏高原二次科考多年冻土考察2022年度任务 [2022-09-20]
-
我站一位博士研究生顺利完成学位论文答辩
2025年8月18日,我站在读博士研究生魏献花顺利完成学位论文答辩。魏献花同学在答辩过程中对其在攻读学位期间所做的工作及学位论文情况进行了详细汇报,答辩委员会专家对魏献花同学学位论文答辩内容进行了点评和提问,并针... 2025年8月18日,我站在读博士研究生魏献花顺利完成学位论文答辩。魏献花同学在答辩过程中对其在攻读学位期间所做的工作及学位论文情况进行了详细汇报,答辩委员会专家对魏献花同学学位论文答辩内容进行了点评和提问,并针...
2025-08-30 -
我站四位研究生顺利完成学位论文答辩
2025年5月24日,我站在读博士研究生杜二计、尚程鹏、刘亚东,在读硕士研究生兀艺凡顺利完成学位论文答辩。四位毕业生在答辩过程中对他们在攻读学位期间所做的工作及学位论文情况进行了详细汇报,答辩委员会专家对答辩学位... 2025年5月24日,我站在读博士研究生杜二计、尚程鹏、刘亚东,在读硕士研究生兀艺凡顺利完成学位论文答辩。四位毕业生在答辩过程中对他们在攻读学位期间所做的工作及学位论文情况进行了详细汇报,答辩委员会专家对答辩学位...
2025-05-28






